Ответы
Ответ дал:
1
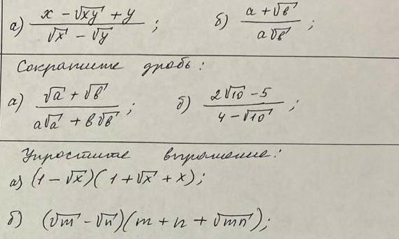
Ответ: на фото, там где зачеркивания это упрощение
Объяснение:
Приложения:

tamerlan1743:
спасибо ♥︎♥︎♥︎
Вас заинтересует
2 года назад
2 года назад
2 года назад
7 лет назад
9 лет назад