• Предмет: Математика
  • Автор: levstercrazy
  • Вопрос задан 3 года назад

упростить выраженияю. даю 100 баллов!!!!! только пожалуйста ответ а не "я не знаю,за баллы спасибо"​

Приложения:

Ответы

Ответ дал: 1KOCMOC1
1

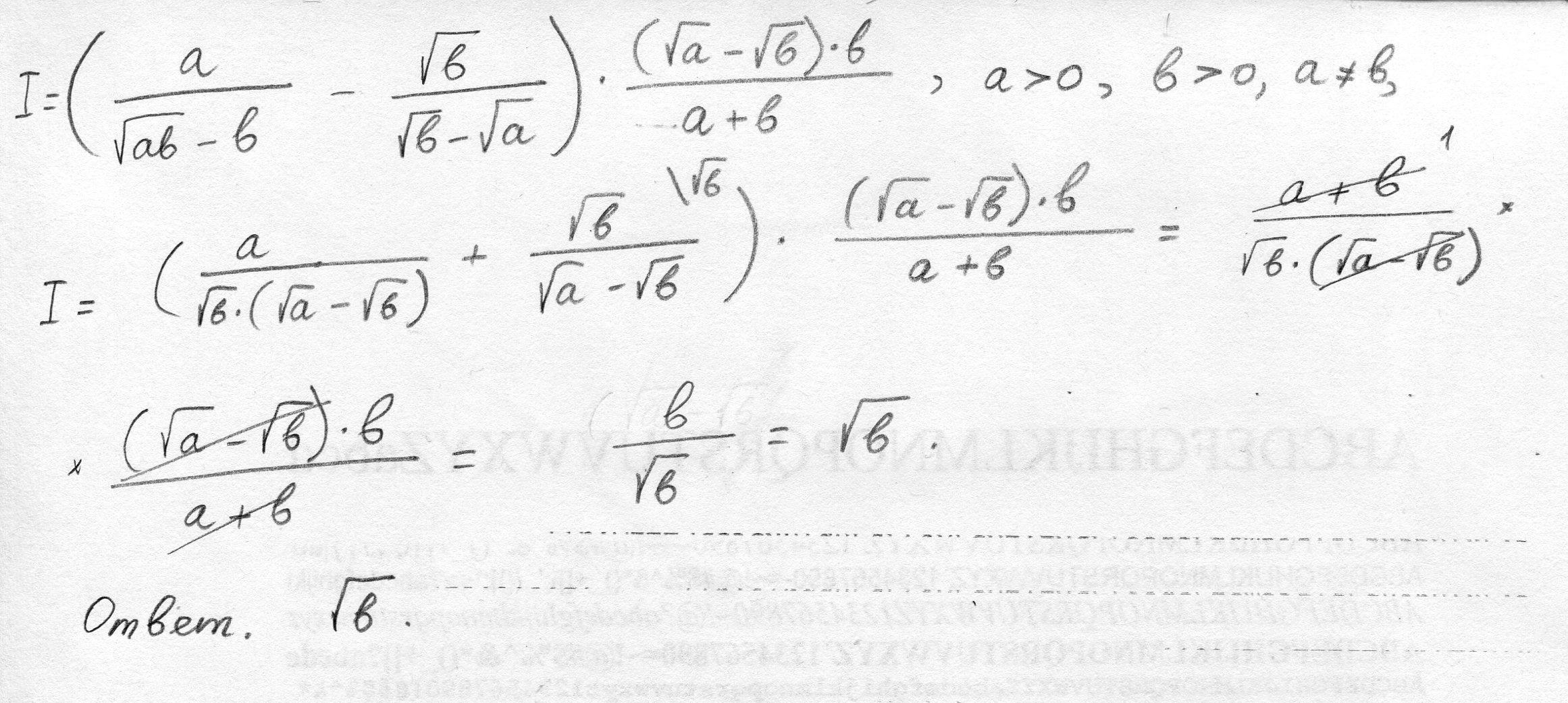
Сперва разберёмся с первой скобкой задания.

Если привести обе части к общему знаменателю в скобке, то получится выражение на фотографии 1.

Дальше мы умножаем данное выражение на первой фотографии на следующее.

При умножении первого выражения на следующее выражение, нам был дан ответ: корень “b”

(Фотография номер 2).

Ответ: корень b

Приложения:
Ответ дал: Аноним
1

я написал ответ на листочке ===>>

Приложения:

levstercrazy: спасибо
Вас заинтересует