РЕШИТЕ ПОЖАЛУЙСТА!!!!
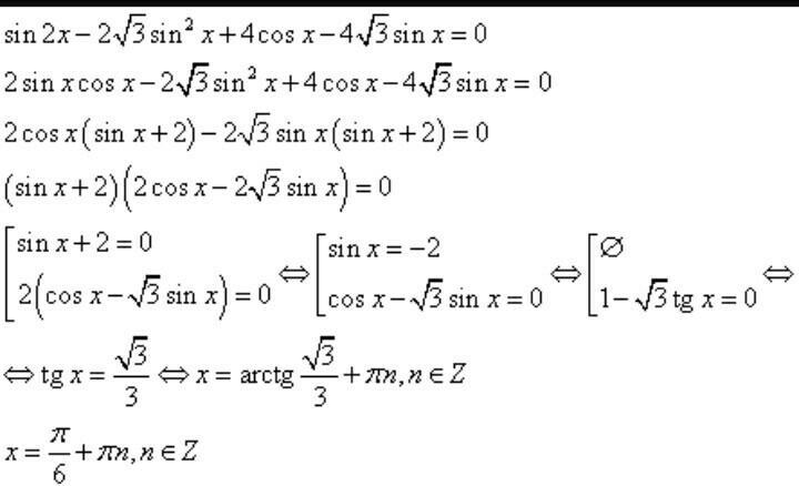
sin2x - 2корень из 3sin в квадрате x +4cosx - 4корень из 3sinx = 0
Приложения:

Ответы
Ответ дал:
0
вродь должно быть правильно
Приложения:

Ответ дал:
0
Вас заинтересует
2 года назад
7 лет назад
9 лет назад