• Предмет: Алгебра
  • Автор: Priselzapomashu008
  • Вопрос задан 3 года назад

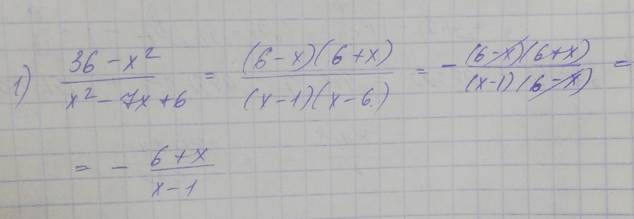
Помогите срочно пожалуйста

Приложения:

Ответы

Ответ дал: turmaganbetovasevara
0

Ответ:

скачай фото матщ помоги тебе

Приложения:
Ответ дал: chemerisyuliya00337
0

Объяснение:

Если вдруг решение нужно

Приложения:
Вас заинтересует