• Предмет: Физика
  • Автор: tenevoeklonirovanie
  • Вопрос задан 3 года назад

1. Тело свободно падает с высоты 40м. Чему равна его скорость в момент удара о землю? Найдите время падения тела.
2. маленькая южноамериканская антилопа отталкивается от земли со скоромтью12м/с. на какую высоту прыгает антилопа?. сколько времени длится прыжок?
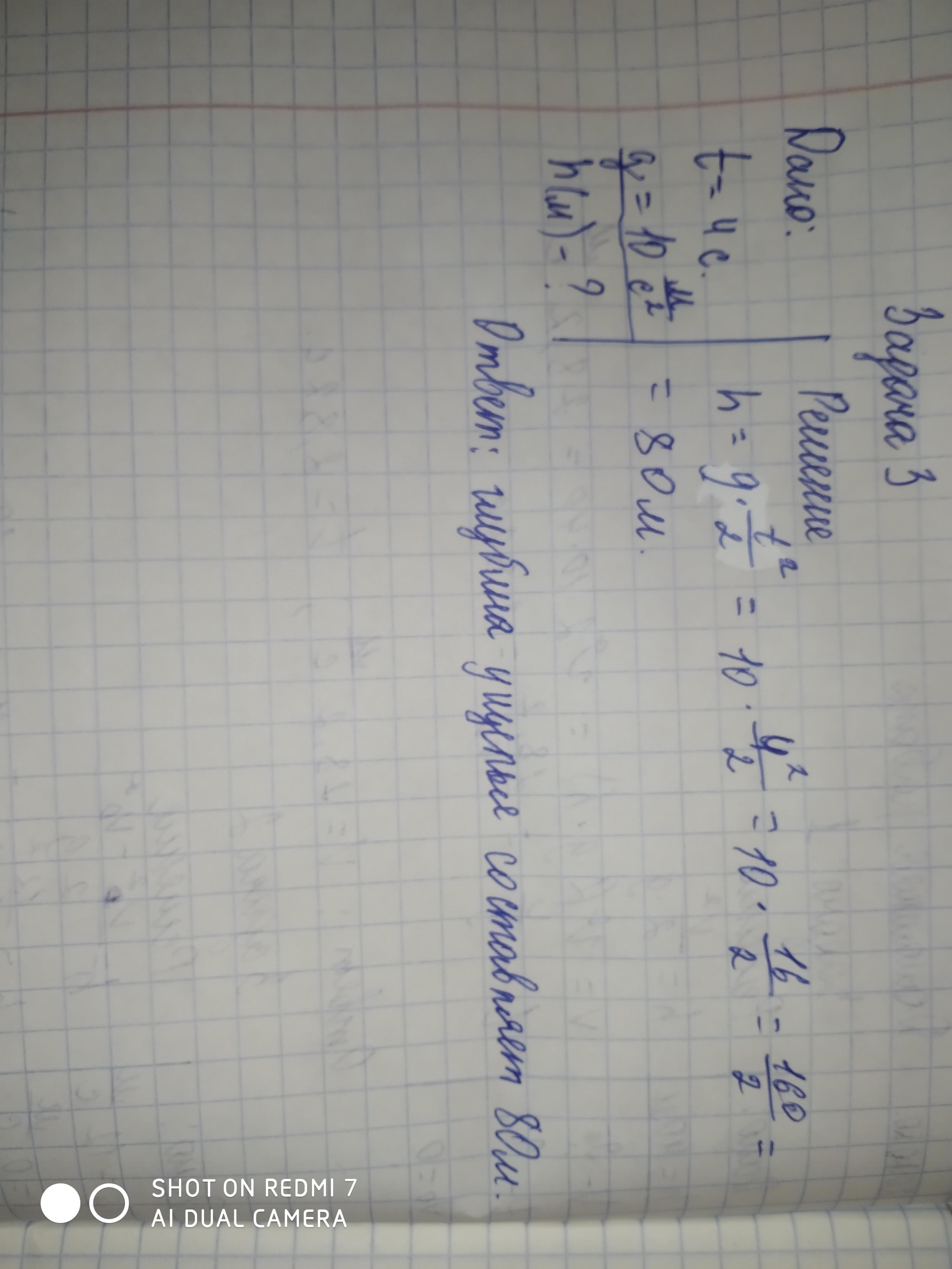
3. камень свободно падал до дна ущелья в течение 5с. расчитайте глубину ущелья.​

Ответы

Ответ дал: Aibkvaa0o
0

Ответ:

Объяснение:

Вот

Приложения:
Вас заинтересует