• Предмет: Математика
  • Автор: rvasilevic55
  • Вопрос задан 3 года назад


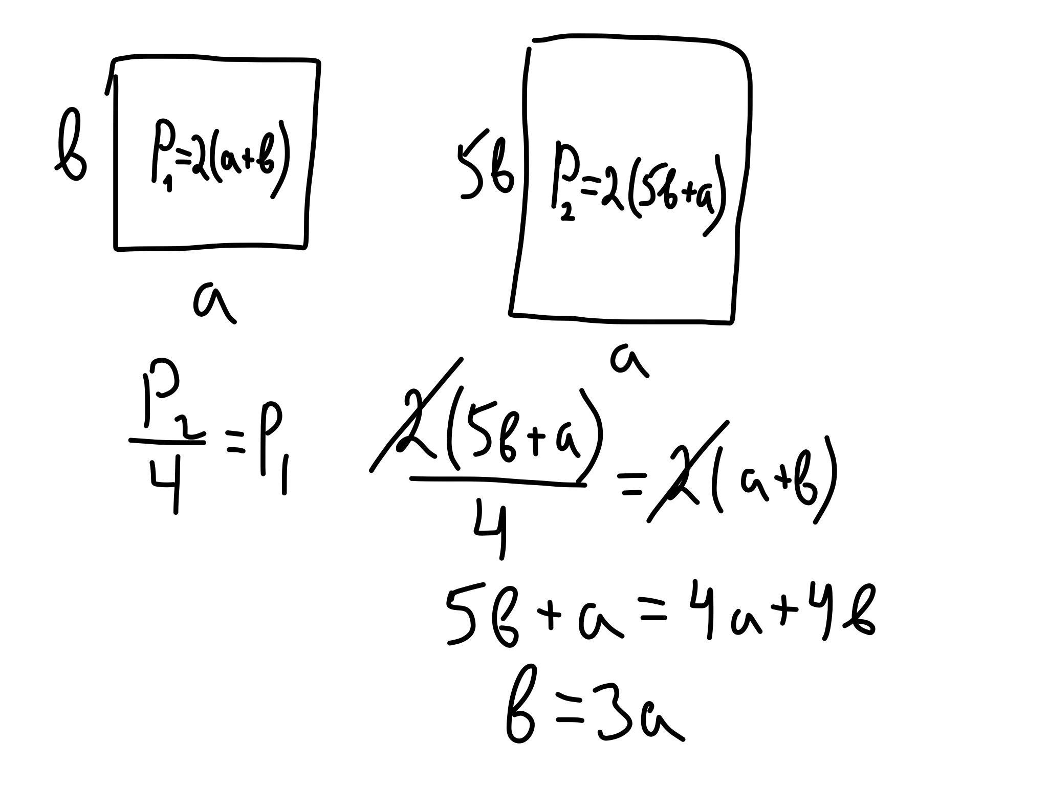
Одну из сторон прямоугольника увеличили в 5 раз. Его периметр от этого увеличился в 4 раза.Во сколько раз отличаются стороны прямоугольника​

Ответы

Ответ дал: Ифигения
4

Ответ: в 3 раза.

Пошаговое объяснение:

Приложения:
Вас заинтересует