• Предмет: Алгебра
  • Автор: MashaChan2003
  • Вопрос задан 3 года назад

Помогите решить пожалуйста
тут чуть-чуть

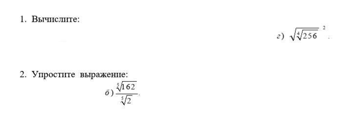
Приложения:

Ответы

Ответ дал: сок111213
1

 \sqrt{ \sqrt[4]{256} }  {}^{2}  =  \sqrt[4]{256}  =  \sqrt[4]{4 {}^{4} }  = 4

 \frac{ \sqrt[5]{162} }{ \sqrt[5]{2} }  =  \sqrt[5]{ \frac{162}{2} }  =  \sqrt[5]{81}

Вас заинтересует