• Предмет: Алгебра
  • Автор: Аноним
  • Вопрос задан 3 года назад

решить уравнение. в ответ наибольший из отрицательных корней​

Приложения:

Ответы

Ответ дал: palilov243659
1

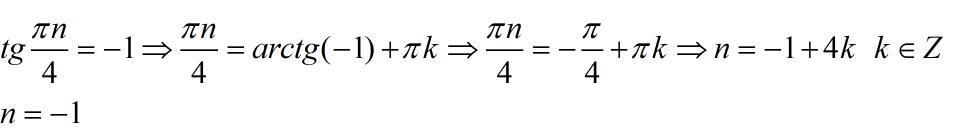
Ответ:

-1

Объяснение:

///////////////////////////////////////

Приложения:
Вас заинтересует