• Предмет: Алгебра
  • Автор: yulyapanda111
  • Вопрос задан 3 года назад

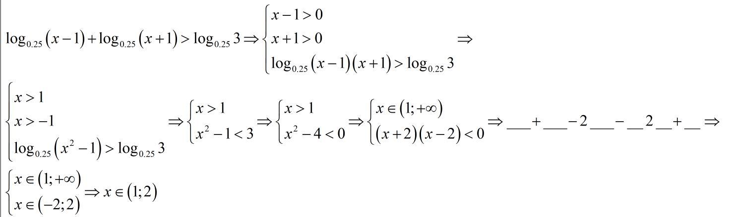
Решите логарифмическое неравенство

Приложения:

Ответы

Ответ дал: gogoletsgo
0

Ответ:

x принадлежит <1,2>

Объяснение:

log0,25(x-1)+log0,25(x+1)>log0,25(3),x принадлежит <1,+бесконечности>

log0,25(x^2-1)>log0,25(3)

x^2-1<3

x^2<4

x принадлежит [0,2>

x>-2,x<2

x принадлежит <1,2>

Ответ дал: palilov243659
0

Ответ:

Объяснение:

///////////////////////////////////////

Приложения:
Вас заинтересует