• Предмет: Алгебра
  • Автор: egor4646
  • Вопрос задан 3 года назад

Помогите пожалуйста срочно!!

Приложения:

Ответы

Ответ дал: MatemaT123
1

Ответ:

11

Объяснение:

ОДЗ:

x-\sqrt{11}\neq0, x+\sqrt{11}\neq0, x\geq0;

x\neq \sqrt{11}, x\neq -\sqrt{11}, x\geq0;

x\geq0, x\neq \sqrt{11};

Решение:

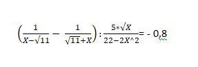
\frac{1*(x+\sqrt{11})-1*(x-\sqrt{11})}{(x+\sqrt{11})*(x-\sqrt{11})}*\frac{2(11-x^{2})}{5*\sqrt{x}}=-0,8;

-\frac{x+\sqrt{11}-x+\sqrt{11}}{x^{2}-(\sqrt{11})^{2}}*\frac{2(x^{2}-11)}{5\sqrt{x}}=-0,8;

\frac{2\sqrt{11}}{x^{2}-11}*\frac{2(x^{2}-11)}{5\sqrt{x}}=0,8;

\frac{2\sqrt{11}*2(x^{2}-11)}{(x^{2}-11)*5\sqrt{x}}=0,8;

4\sqrt{11}*(x^{2}-11)=0,8*5\sqrt{x}*(x^{2}-11);

\sqrt{11}(x^{2}-11)=\sqrt{x}(x^{2}-11);

\sqrt{11}(x^{2}-11)-\sqrt{x}(x^{2}-11)=0;

(\sqrt{11}-\sqrt{x})(x^{2}-11)=0;

\sqrt{11}-\sqrt{x}=0, x^{2}-11=0;

\sqrt{11}=\sqrt{x}, x^{2}=11;

x_{1}=11, x_{2}=-\sqrt{11}, x_{3}=\sqrt{11};

Корни x₂ и x₃ не имеют смысла (смотреть ОДЗ). Остаётся корень x₁ .


egor4646: спасибо большое
MatemaT123: Пожалуйста)
Вас заинтересует