сколько понадобится квадратных метров обоев чтобы обклеить комнату размеами 5,9м*3,6м и высотой 2,65м?решение задачи
mn357111:
А можно пояснение?
Ответы
Ответ дал:
0
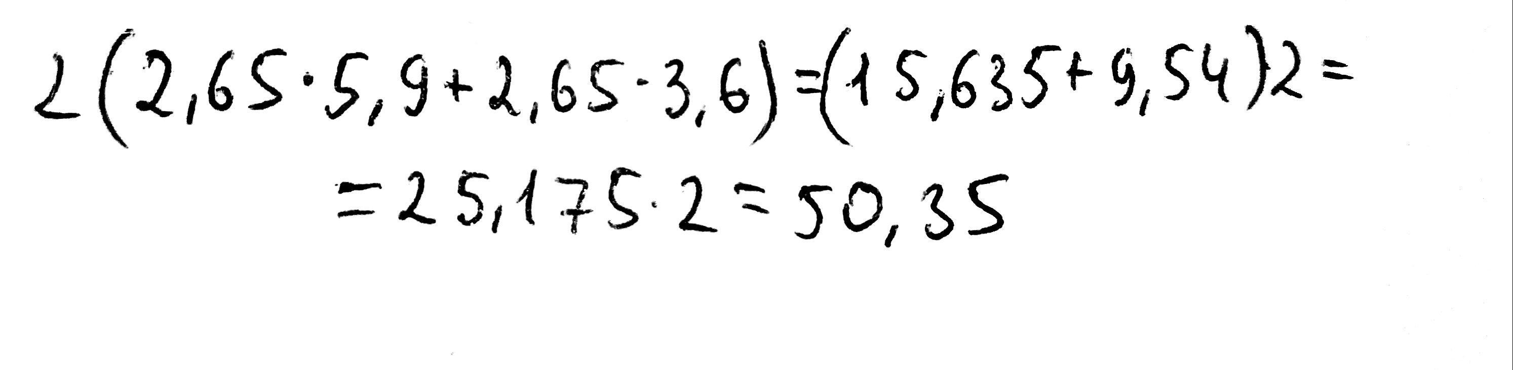
Ответ: 50,35 м².
Пошаговое объяснение:
Мы сложили площади двух разных стен и, так как их по две одинаковых друг напротив друга, умножили сумму на два. Получили площадь всех стен.
Приложения:

Вас заинтересует
2 года назад
2 года назад
2 года назад
7 лет назад
7 лет назад
9 лет назад
9 лет назад