• Предмет: Алгебра
  • Автор: salimaaldashukurova
  • Вопрос задан 3 года назад

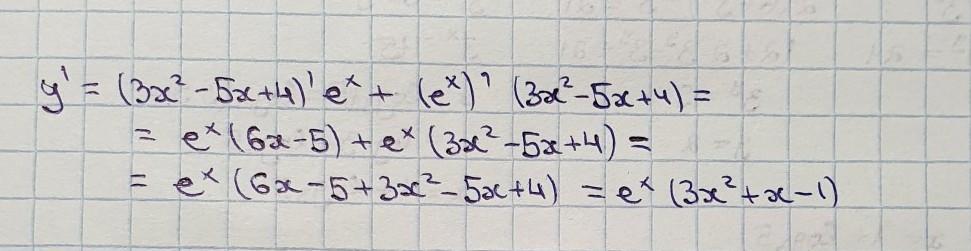
Найдите производную произведения: (3х^2-5х+4) *е^х​

Ответы

Ответ дал: Miroslava227
3

Ответ:

решение на фотографии

Приложения:
Вас заинтересует