• Предмет: Алгебра
  • Автор: MashaChan2003
  • Вопрос задан 3 года назад

Пожалуйста помогите решить
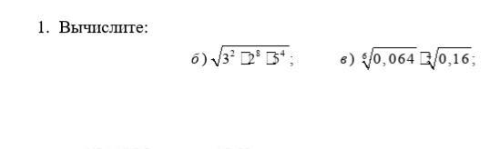
(Вместо квадратиков умножение)

Приложения:

Ответы

Ответ дал: ganiyevazuxra6
0

Ответ:

a)

 \sqrt{ {3}^{2} \times  {2}^{8}  \times  {5}^{4}  }   =  3 \times  {2}^{4}  \times  {5}^{2}  = 3 \times 16 \times 25 = 1200

b)

 \sqrt[6]{0.064}  \times  \sqrt[4]{0.16}  =  \sqrt[12]{ {0.064}^{2} }  \times  \sqrt[12]{0.16}^{3}  =  \sqrt[12]{0.064 ^{2} \times  {0.16}^{3}  }  =  \sqrt[12]{( \frac{2}{5}) ^{6}  \times ( \frac{2}{5} )^{6}  }  =  \sqrt[12]{( \frac{2}{5} \times  \frac{2}{5} )^{6}  }  =  \sqrt{( \frac{2}{5} )^{2} }  =  \frac{2}{5}

Вас заинтересует
2 года назад