• Предмет: Математика
  • Автор: ЛюбаC
  • Вопрос задан 3 года назад

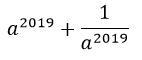
Дано а2 + а + 1 = 0. Найдите

Приложения:

Ответы

Ответ дал: AdemArcher
0

Ответ:

на картике будет а^2019

Пошаговое объяснение:

а это у нас (а+1/2)^2+1/2

Ответ дал: Slavik64377
0
a2+a=0-1
3a=-1
1/3
0,33

ЛюбаC: 2 это степень: a^2
Slavik64377: Это не верно
Slavik64377: Или верно
Вас заинтересует