• Предмет: Математика
  • Автор: kristiakramarcss
  • Вопрос задан 3 года назад

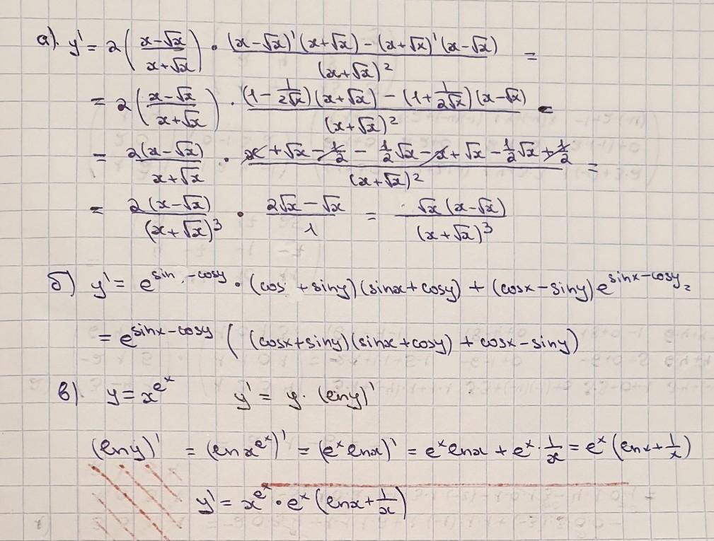
знайти похідну dy/dx від заданих функцій а), б), в) і похідну d^2y/dx^2 від функції г):​

Приложения:

Ответы

Ответ дал: Miroslava227
3

Ответ:

решение на фотографиях

Приложения:

kristiakramarcss: спасибо!!!
Вас заинтересует