Ответы
Ответ дал:
1
по идее :180:3=60
60*2=120
ответ: один угол 60,а другой 120,так как в 2 раза больше
muxlisa1738:
Блин так там 3 варианта тоисть a) б) в) ♀️ простите щяс я новый вопрос зделаю
Ответ дал:
0
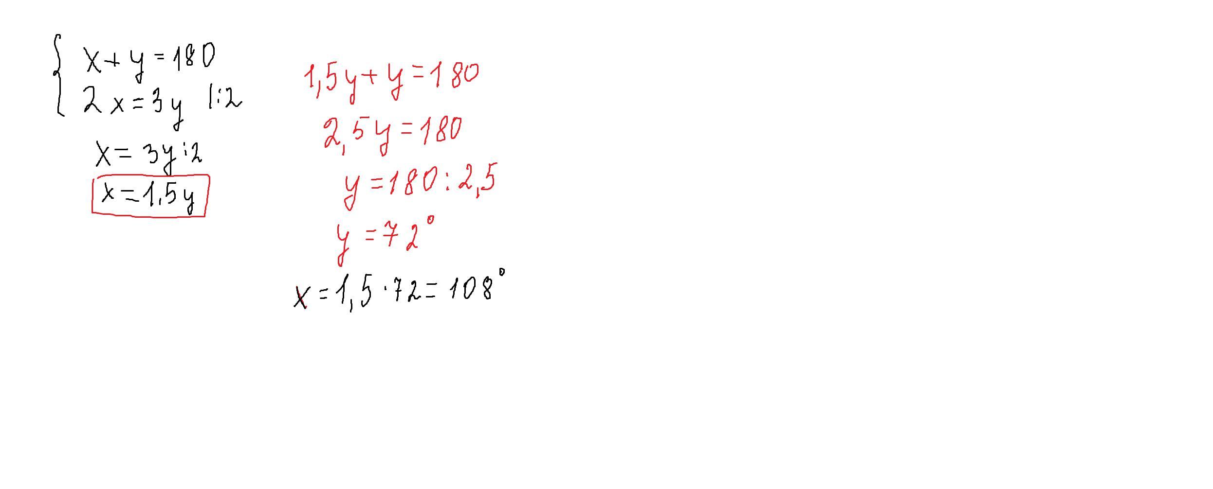
Ответ: по вашей фотографии
у=72° и х=108°
Объяснение:
так У и Х это смежные углы,то их сумма равна 180 градусам.
по вашему рисунку
х+у=180
2х=3у решаем систему уравнений и получаем у=72° и х=108°
Приложения:

Вас заинтересует
2 года назад
2 года назад
2 года назад
2 года назад
7 лет назад
7 лет назад