• Предмет: Математика
  • Автор: Gibonhiho
  • Вопрос задан 3 года назад

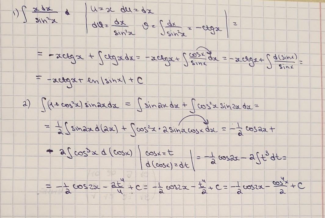
Задание. Вычислить интегралы

(1 пример -методом интегрирования по частям), 2 пример – методом

замены переменных)

Приложения:

Ответы

Ответ дал: Miroslava227
0

Ответ:

решение на фотографии

Приложения:
Вас заинтересует