• Предмет: Математика
  • Автор: pugovka21
  • Вопрос задан 3 года назад

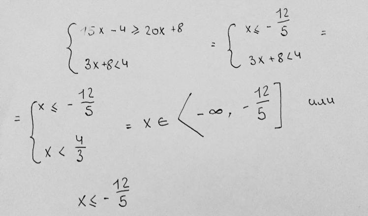
Решите систему
Помогите, пожалуйста ​

Приложения:

Ответы

Ответ дал: Physialy
1
Ответ выведен на фото, надеюсь этот ответ, поможет вам)
Приложения:
Вас заинтересует