• Предмет: Алгебра
  • Автор: chingizbekovislam
  • Вопрос задан 3 года назад

3
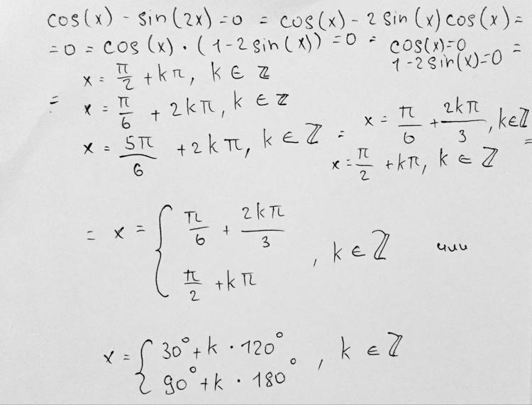
cos x -  sin2x = 0

Ответы

Ответ дал: Physialy
0
Решение перенесено на фото.
Приложения:
Вас заинтересует