• Предмет: Математика
  • Автор: keinavazman
  • Вопрос задан 3 года назад

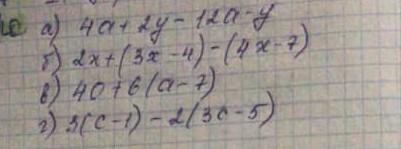
упростите выражение пжж последние баллы​

Приложения:

Ответы

Ответ дал: Аноним
0

Пошаговое объяснение: 4a+2y-12a-y=y-8a\\ 2x+(3x-4)-(4x-7)=2x+3x-4-4x+7=x+3\\ 40+6(a-7)=40+6a-42=6a-2\\ 3(c-1)-2(3c-5)=3c-3-6c+10=7-3c

Ответ дал: shapovalovtima
0

Ответ:

Упростить выражение- это значит сделать все действия с этим выражением.

а)4а+2у-12а-у= -8а+1у (я посчитал у и а но учитывая все знаки которые принадлежат этим цифрам)

б)2х+(3х-4)-(4х-7)=

А тут сначала раскрываем скобки. Подучаем новое выражение без скобок:

2х+3х-4-4х+7=1х+3

в)40+6(а-7)=40+6а-42= -2+6а

г)3(с-1)-2(3с-5)=3с-3-6с+10=

-3с+7

Пошаговое объяснение:

Вот, вроде так


shapovalovtima: Сделай мой ответ лучшим
Вас заинтересует