помогите решить задачу. Найдите высоту прямоугольного треугольника, опущенную на гипотенузу, если катеты равны 10 см и 12 см
Ответы
Ответ дал:
0
Вычислим гипотенузу с=√(100+144)=√244=2√61
Вычислим площадь треугольника двумя способами:
1) S=0,5(12·10)=60 см²,
2) S=0,5 h·c; 60=0.5·2√61· h; h=60/√61 см.
Ответ: 60/√61 см.
Вычислим площадь треугольника двумя способами:
1) S=0,5(12·10)=60 см²,
2) S=0,5 h·c; 60=0.5·2√61· h; h=60/√61 см.
Ответ: 60/√61 см.
Ответ дал:
0
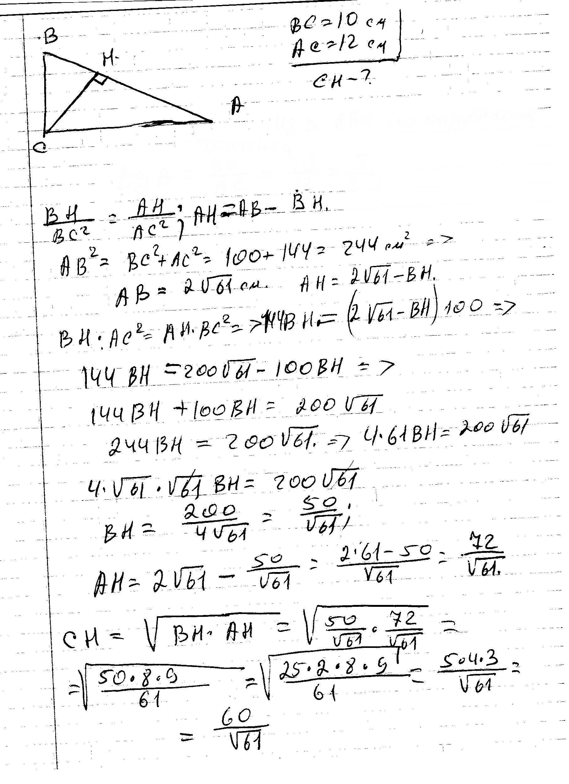
Решение в скане.............
Приложения:
Вас заинтересует
3 года назад
8 лет назад
11 лет назад
11 лет назад
11 лет назад