• Предмет: Математика
  • Автор: Аноним
  • Вопрос задан 3 года назад

Здана пропорция 10 : 3 = 50 : y... Найдите значение y​

Ответы

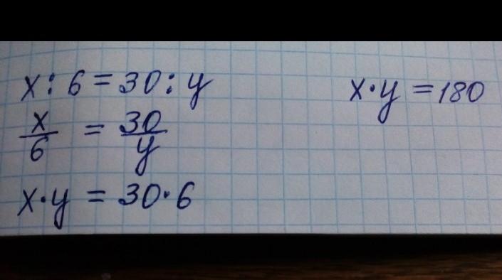
Ответ дал: Tu1medak
0

попробуй этот пример

объяснений .вот так вот

Приложения:
Вас заинтересует