• Предмет: Алгебра
  • Автор: alizhan062
  • Вопрос задан 3 года назад

алгебра помогите пожалуйста буду благодарен​

Приложения:

Ответы

Ответ дал: table123
1

Ответ:

Объяснение:

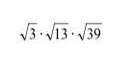
введем под один корень  (V),   =V3*13*39=V39*39=39

Ответ дал: dimahaz63
1

Ответ:

✓3×✓13×✓39=39 ответ 39

Вас заинтересует