• Предмет: Математика
  • Автор: andreypgr25
  • Вопрос задан 3 года назад

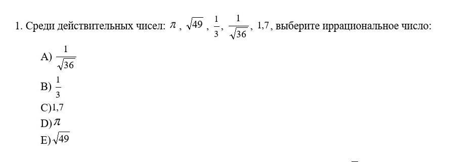
Среди действительных чисел: выберите иррациональное число:срочно пожалуйста! Горит прям​

Приложения:

elinacat1999: привет ты узнал ответ
elinacat1999: скажи
elinacat1999: пж
elinacat1999: умоляю
Аноним: ???

Ответы

Ответ дал: natalyabryukhova
3

Ответ:

D) π

Пошаговое объяснение:

Иррациональное число — это действительное число, которое невозможно выразить в виде рациональной дроби.

Оно может быть выражено в форме бесконечной непериодической десятичной дроби.

\displaystyle        A)\;\frac{1}{\sqrt{36} }=\frac{1}{6}\\\\B)\;\frac{1}{3}\\\\C)\;1,7=\frac{17}{10}\\\\  D)\;\pi \approx       3,141592653...\\\\E)\;\sqrt{49}=7=\frac{7}{1}

Видим, что из всех чисел невозможно выразить в виде рациональной дроби число π. Оно выражено в форме бесконечной непериодической десятичной дроби.

Ответ D)

Вас заинтересует