• Предмет: Алгебра
  • Автор: Аноним
  • Вопрос задан 3 года назад

помогите пожалуйста срочно нужно помогите ​

Приложения:

Ответы

Ответ дал: NNNLLL54
0

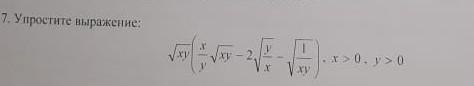
x>0\ ,\ y>0\\\\\sqrt{xy}\cdot \Big(\dfrac{x}{y}\cdot \sqrt{xy}-2\sqrt{\dfrac{y}{x}}-\sqrt{\dfrac{1}{xy}}\Big)=\dfrac{x}{y}\cdot \sqrt{xy}\cdot \sqrt{xy}-2\dfrac{\sqrt{y}}{\sqrt{x}}\cdot \sqrt{xy}-\dfrac{1}{\sqrt{xy}}\cdot \sqrt{xy}=\\\\\\=\dfrac{x\cdot xy}{y}-2y-1=x^2-2y-1

Вас заинтересует