• Предмет: Алгебра
  • Автор: weilmils
  • Вопрос задан 3 года назад

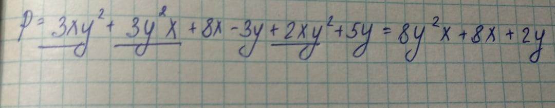
найдите периметр фигуры. ответ запишите в виде многочлена стандартного вида, и запишите его степень.​

Приложения:

Ответы

Ответ дал: katy770
7

Ответ:

Привет)

Решение во вложении, будут вопросы, задавай)

Если не сложно, отметь пожалуйста как лучший ответ))

Объяснение:

Приложения:

weilmils: спасибо большое!!
hadiadavletova: спасибо большое
Вас заинтересует