• Предмет: Математика
  • Автор: kumushalievvva
  • Вопрос задан 3 года назад

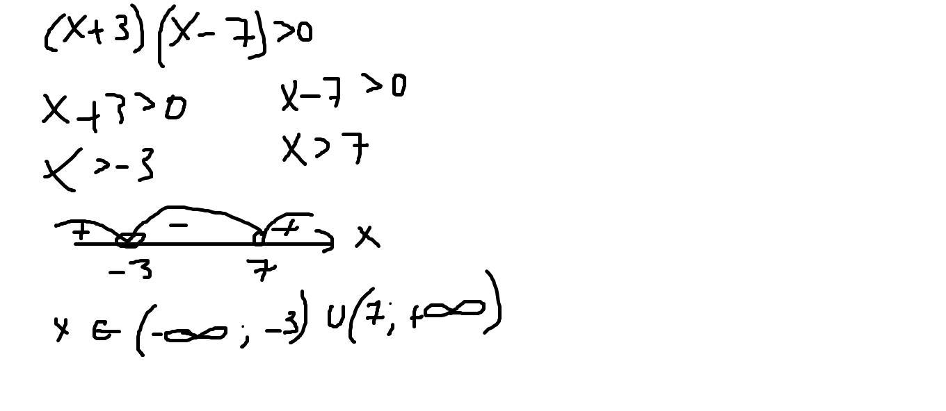
срочно помогитее надо решать интервалдор методу​

Приложения:

Ответы

Ответ дал: Genum
1

Ответ:

Внизу.

Пошаговое объяснение:

Приложения:
Вас заинтересует