• Предмет: Алгебра
  • Автор: lis394568
  • Вопрос задан 3 года назад

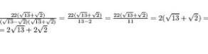
Освободитесь от иррациональностив знаменателе дроби:232​

Приложения:

Ответы

Ответ дал: bezdelnik001
1

Ответ:

  • Смотри решение на рисенке правильно да
Приложения:

gulnazshamilova05: рисенке
bezdelnik001: что
Вас заинтересует