• Предмет: Алгебра
  • Автор: Luybasugrobova422
  • Вопрос задан 3 года назад

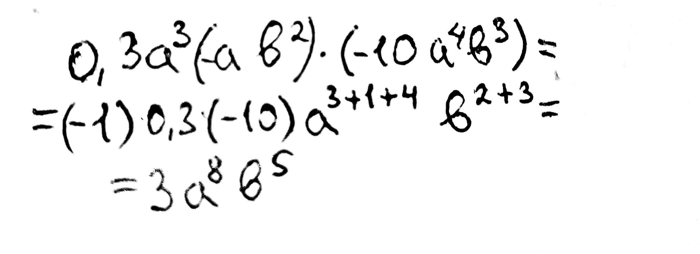
упростите выражение:0,3а^3×(-ab^2)×(-10a^4 b^3)
Попрошу ПОМОГИТЕ!если будете всякую хрень писать кину жалобу СРАЗУ !


Ифигения: Там только b в квадрате в первой скобке?

Ответы

Ответ дал: Ифигения
2

Ответ: 3а^8 b^5

Объяснение:

Приложения:

Ифигения: Отметь, как лучший, пожалуйста.
Luybasugrobova422: Спасибо
Ифигения: Не за что
Luybasugrobova422: Слушайте а где (-1) 0,3 (-10)
Luybasugrobova422: Там так и надо писать ? Или там знак умножит поставить надо я не поняла?
Ифигения: между числами он нужен, между буквами его можно опускать.
Luybasugrobova422: Спасибо
akbotanaurzbek03: Помогите пожалуйста
akbotanaurzbek03: Упростите выражение 0,3а³*(-ab²)*-10
akbotanaurzbek03: Все спасибо
Вас заинтересует