• Предмет: Математика
  • Автор: akashe
  • Вопрос задан 3 года назад

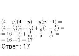
найдите область определения выражения
(у+2):(4-у)

Ответы

Ответ дал: bezdelnik001
0

уточненный ответ ты наверное пропустил y=

Приложения:
Вас заинтересует