• Предмет: Алгебра
  • Автор: milanaku87
  • Вопрос задан 3 года назад

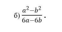
сократите дробь сократите дробь сократите дробь сократите дробь ​

Приложения:

Ответы

Ответ дал: viktoriaivut9
5

Ответ: (a-b)*(a+b)/6(a-b)=a+b/6

Объяснение:


milanaku87: * это умножение ?
viktoriaivut9: да
milanaku87: спасибо
viktoriaivut9: отметь как лучшее решение, пожалуйста
Вас заинтересует