• Предмет: Математика
  • Автор: tanya2008t
  • Вопрос задан 3 года назад

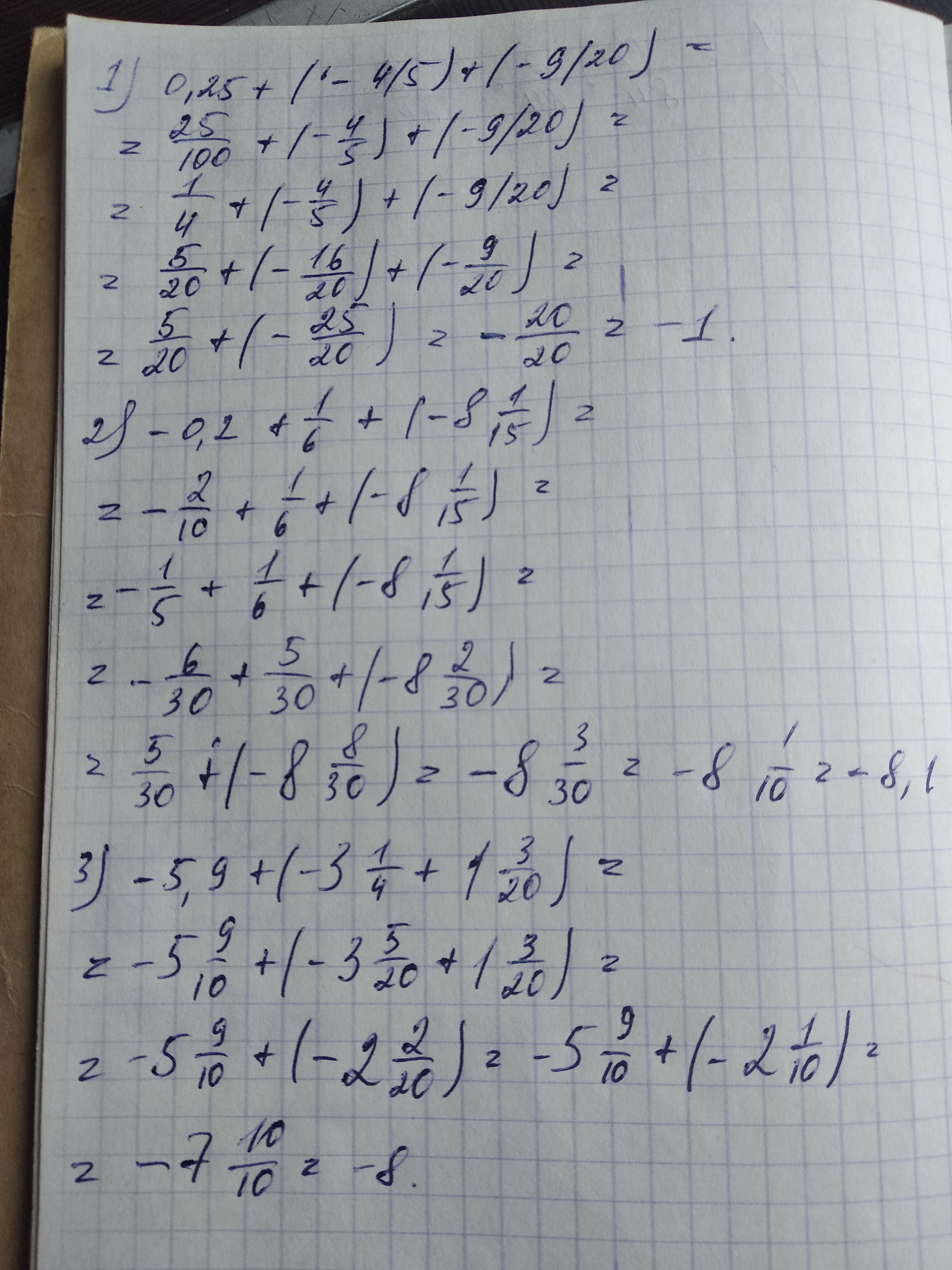
1)0,25+(-4/5)+(-9/20)
2)-0,2+1/6+(-8 1/15)
3)-5,9+(-3 1/4+1 3/20)
4)6,7+(2 1/3-9 2/5)
Вычислите
можно фотку листка с ришенными примерами пожалуйста ( в клетку)
​​

Ответы

Ответ дал: shushkasmol
6

Ответ: -1; -8,1; -8; -11/30

Пошаговое объяснение:

Приложения:

adilbaibagisov: спс
Вас заинтересует