• Предмет: Математика
  • Автор: bazarbaevelchibek
  • Вопрос задан 3 года назад

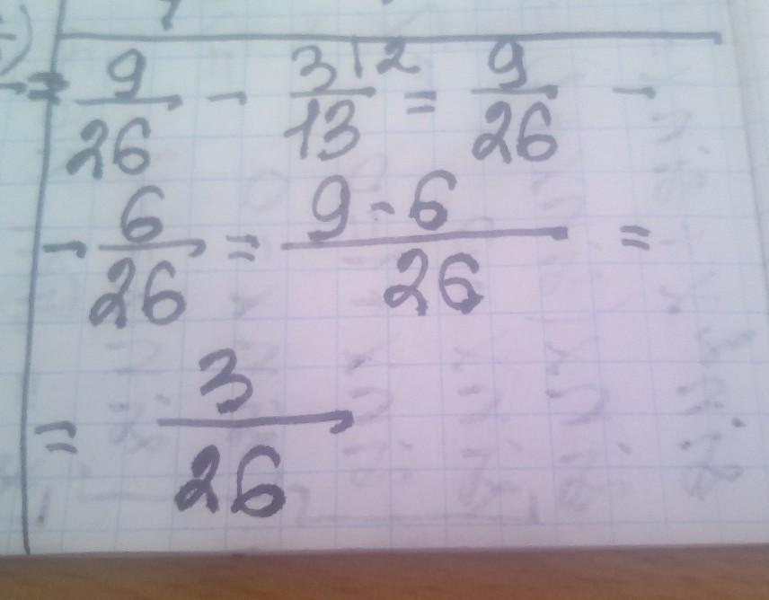
вычислите 9/26-3/13
плз помогите​

Ответы

Ответ дал: manyny06
0

Ответ:

решение на фотографии

Приложения:
Ответ дал: Аноним
0

Ответ:

Найдем общий знаменатель:

НОК(13,26) = 26(частный случай)

----------------------------------------------------

\frac{9}{26} -\frac{3*2}{13*2} = \frac{9-6}{26} = \frac{3}{26}

Пошаговое объяснение:

Вас заинтересует