• Предмет: Математика
  • Автор: sibirtseva04
  • Вопрос задан 3 года назад

Помогите пожалуйста!!!

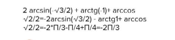
2arc sin (-корень из 3/на 2)+arc tg (-1) + arc cos корень из 2/2

Ответы

Ответ дал: rinatovadina857
1

Пошаговое объяснение:

воот так таак думаююиииииии

Приложения:
Вас заинтересует