• Предмет: Алгебра
  • Автор: HajimeRecords
  • Вопрос задан 3 года назад

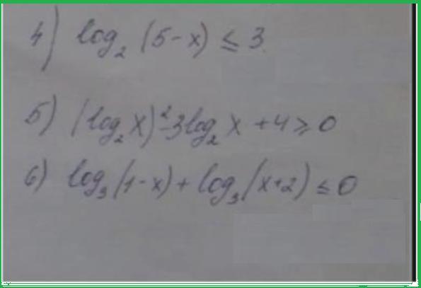
44444444444444444444444

Приложения:

Ответы

Ответ дал: m11m
1

Ответ:

Объяснение:

!!!!!!!!!!!!!!!!!!!!!!!

Приложения:

HajimeRecords: Спасибо большое. А что с 3 ?
Вас заинтересует