• Предмет: Математика
  • Автор: YernarAizharyk
  • Вопрос задан 3 года назад

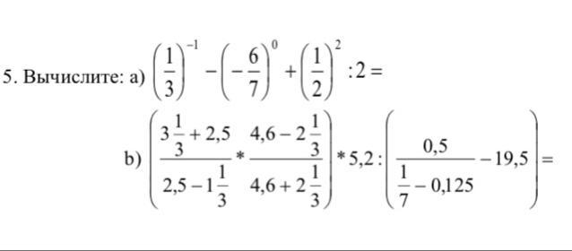
Помогите пожалуйста

Приложения:

Ответы

Ответ дал: Rakvium
0

Ответ:

a)

(\frac{1}{3})^{-1}-(-\frac{6}{7})^0+(\frac{1}{2})^2:2=3-1+(\frac{1}{2})^2*\frac{1}{2}=2-(\frac{1}{2})^3=2-\frac{1}{8}=1\frac{7}{8}

b)

(\frac{3\frac{1}{3}+2,5}{2,5-1\frac{1}{3}}*\frac{4,6-2\frac{1}{3}}{4,6+2\frac{1}{3}})*5,2:(\frac{0,5}{\frac{1}{7}-0,125}-19,5)=\\(\frac{\frac{10}{3}+\frac{5}{2}}{\frac{5}{2}-\frac{4}{3}}*\frac{\frac{23}{5}-\frac{7}{3}}{\frac{23}{5}+\frac{7}{3}})*5,2:(\frac{0,5}{\frac{1}{7}-\frac{1}{8}}-19,5)=\\(\frac{\frac{20}{6}+\frac{15}{6}}{\frac{15}{6}-\frac{8}{6}}*\frac{\frac{69}{15}-\frac{35}{15}}{\frac{69}{15}+\frac{35}{15}})*5,2:(\frac{\frac{1}{2}}{\frac{8-7}{7*8}}-19,5)=\\

(\frac{\frac{35}{6}}{\frac{7}{6}}*\frac{\frac{34}{15}}{\frac{104}{15}})*5,2:(\frac{\frac{1}{2}}{\frac{1}{56}}-19,5)=\\\\(\frac{35*6}{6*7}*\frac{34*15}{15*104})*5,2:(\frac{56}{2}-19,5)=\\\\\frac{5}{1}*\frac{34}{104}*\frac{52}{10}:(28-19,5)=\\\\\frac{34}{4}:(28-19,5)=\frac{34}{4}:(8,5)=\frac{34}{4}*\frac{10}{85}=\\\frac{17*2*10}{4*17*5}=1.

Вас заинтересует