Ответы
Ответ дал:
1
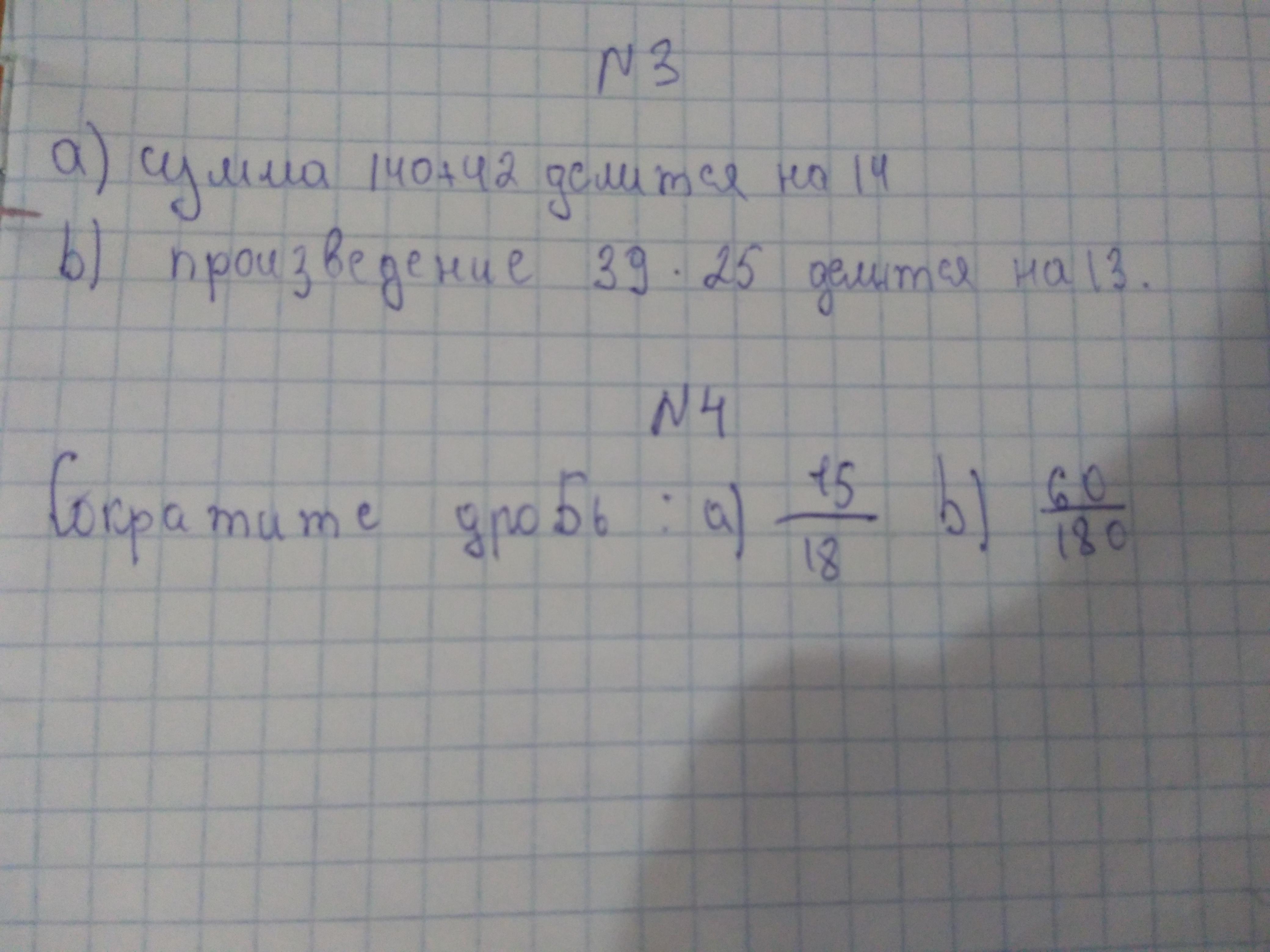
Номер 3:
а)140 делится на 14=10; 42 делится на 14=3 (сумма чисел делится нацело на число в том случае, если нацело делится каждое слагаемое)
б)39 делится на 13=3 (произведение делится нацело на число, если нацело делится хотя бы один из множителей)
Номер 4:
а)5/6
б)1/3
а)140 делится на 14=10; 42 делится на 14=3 (сумма чисел делится нацело на число в том случае, если нацело делится каждое слагаемое)
б)39 делится на 13=3 (произведение делится нацело на число, если нацело делится хотя бы один из множителей)
Номер 4:
а)5/6
б)1/3
Вас заинтересует
2 года назад
2 года назад
2 года назад
8 лет назад
8 лет назад
9 лет назад
9 лет назад