• Предмет: Алгебра
  • Автор: dairka
  • Вопрос задан 3 года назад

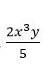
Определите коэффициент и степень многочлена
пожалуйста СОЧ​

Приложения:

Ответы

Ответ дал: Zombynella
2

Ответ:

В решении.

Объяснение:

Коэффициент одночлена - это дробь перед переменными, в данном случае 2/5, а степень одночлена - это сумма степеней переменных, в данном примере 3+1, значит, 4.

Определить коэффициент и степень одночлена:  

2/5 х³у = 2/5 и 4.

Вас заинтересует