• Предмет: Математика
  • Автор: Cmex123ix
  • Вопрос задан 3 года назад

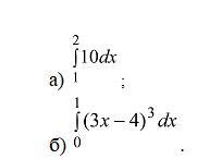
Обчисліть інтеграл Даю 10 балов

Приложения:

Ответы

Ответ дал: Geographist
1

Ответ:

Пошаговое объяснение:

Приложения:
Вас заинтересует