• Предмет: Алгебра
  • Автор: Mashka8995
  • Вопрос задан 11 лет назад

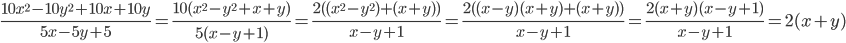
(10x^2-10y^2+10x+10y)/(5x-5y+5)

Ответы

Ответ дал: MARRIETTA
0

1) разберёмся с числителем сначала:  

    группируем (10х²-10у²)+(10х+10у)=10·(х²-у²)+10(х+у) =  

= 10(х-у)(х+у) + 10(х+у)= 10(х+у)· ((х-у)+1)=10(х-у)·(х-у+1)

" теперь знаменатель: вынесем 5 за скобки

5·(х-у +1)

Получается и в числителе и в знаменателе одинаковая скобка 

 (х-у+1), сокращаем на неё.

Получается 10(х-у)/5 = 2·(х-у) 

Ответ:   2·(х-у)  или 2х-2у 

Ответ дал: elzikhamitova
0

решение во вложении, внизу

Приложения:
Вас заинтересует