• Предмет: Алгебра
  • Автор: aisusha0728
  • Вопрос задан 3 года назад

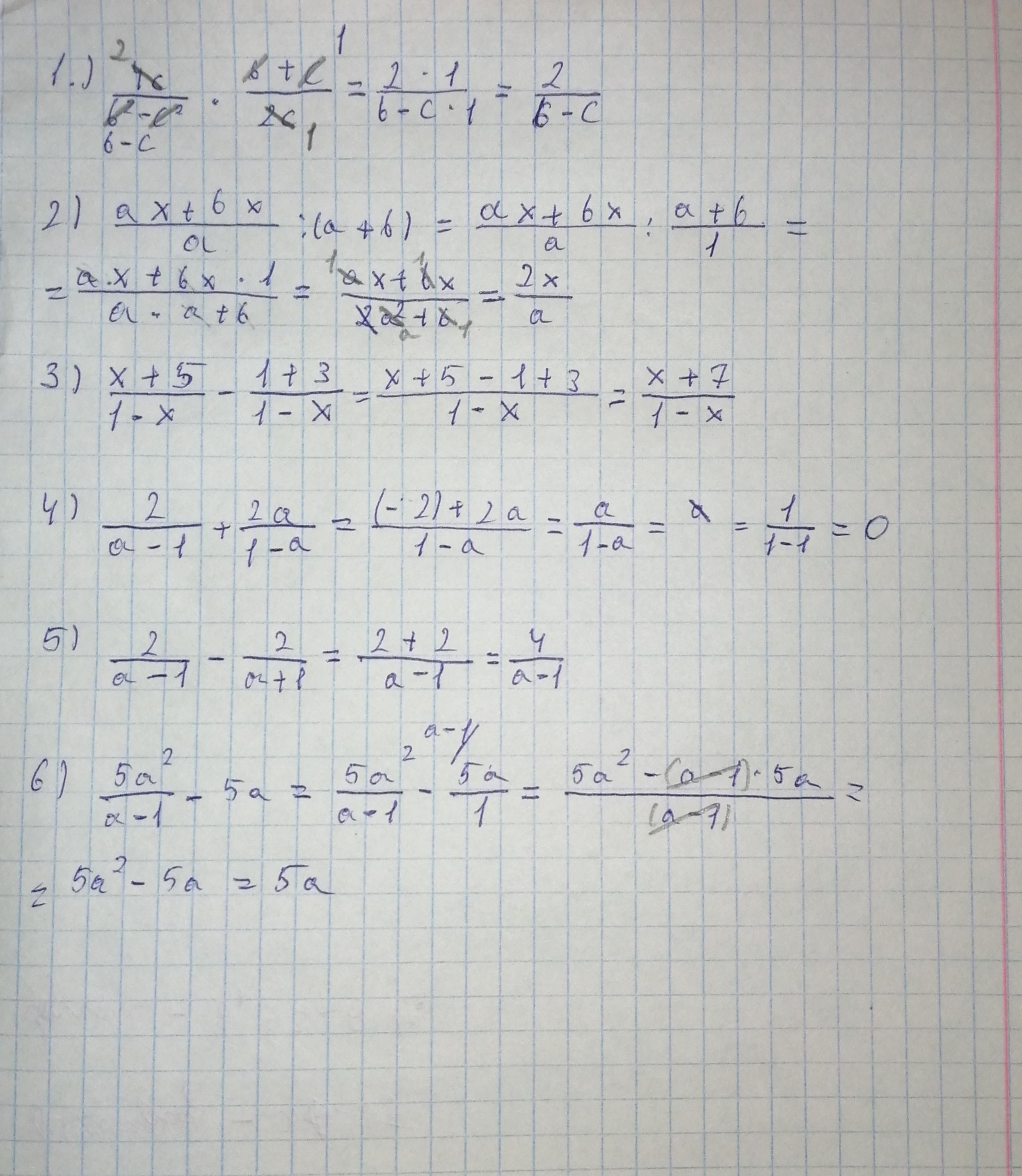
пожалуйста помогите если будете писать ерунду,буду жаловаться на вас! ​

Приложения:

artemurakov: А какая инструкция что нужно сделать?
aisusha0728: надо решать)

Ответы

Ответ дал: artemurakov
2

Ответ:

Всё ок

Объяснение:

Всё ок

Приложения:
Вас заинтересует