Ответы
Ответ дал:
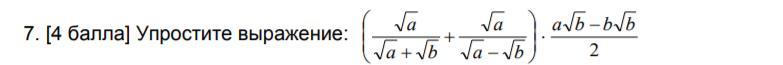
1
Ответ:
Привет)
Решение во вложении, будут вопросы, задавай)
Если не сложно, отметь пожалуйста как лучший ответ))
Объяснение:
Приложения:

ggrrrmml134gm:
Спасибо
Вас заинтересует
2 года назад
2 года назад
2 года назад
7 лет назад
9 лет назад