• Предмет: Математика
  • Автор: Аноним
  • Вопрос задан 3 года назад

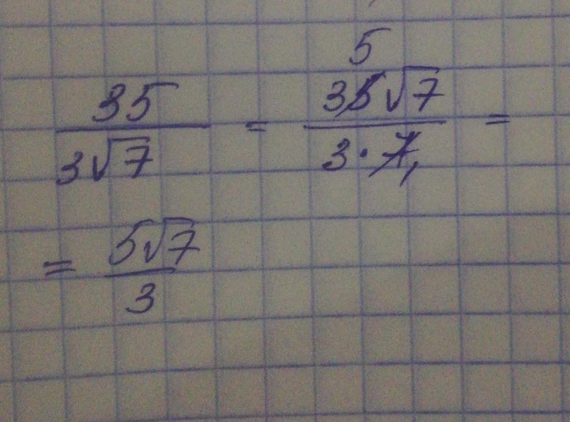
35 : 3 корень 7

Избавьтесь от иррациональности в знаменатели дроби ​

Приложения:

Ответы

Ответ дал: chemerisyuliya00337
2

Пошаговое объяснение:

Там домножить надо и числитель, и знаменатель на корень из 7

Приложения:
Вас заинтересует