• Предмет: Математика
  • Автор: abas99379
  • Вопрос задан 3 года назад

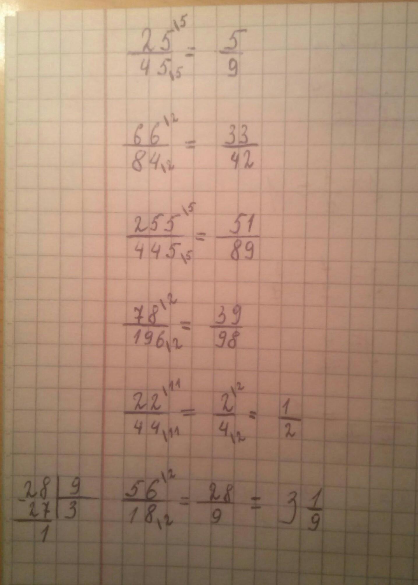
Сократить дробь: .

25/45; 66/84; 255/445; 78/196; 22/44;56/18



Ответы

Ответ дал: mdashs
3

Ответ:

\frac{25}{45} =\frac{5}{9}

\frac{66}{84} =\frac{33}{42} =\frac{11}{14}

\frac{255}{445} =\frac{51}{89}

\frac{78}{196} =\frac{39}{98}

\frac{22}{44} =\frac{1}{2}

\frac{56}{18} =\frac{28}{9} =3\frac{1}{9}

Ответ дал: Ivanova207
2

ответ на приложенном фото

Приложения:
Вас заинтересует