• Предмет: Алгебра
  • Автор: plmqaz68
  • Вопрос задан 3 года назад

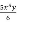
Определите коэффициент и степень одночлена

Приложения:

Ответы

Ответ дал: Zombynella
1

Ответ:

В решении.

Объяснение:

Коэффициент одночлена - это дробь перед переменными, в данном случае 5/6, а степень одночлена - это сумма степеней переменных, в данном примере 5+1, значит, 6.  

Определить коэффициент и степень одночлена:      

5/6 х⁵у = 5/6 и 6.

Вас заинтересует