• Предмет: Алгебра
  • Автор: alina00833
  • Вопрос задан 3 года назад

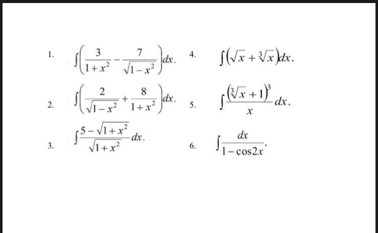
ПОМОГИТЕ ПОЖАЛУЙСТА РЕШИТЬ ТОЛЬКО 3 примера( сами можете выбрать) ОЧЕНЬ СРОЧНО НУЖНО.
НУЖНО ВСЕ ПРЯМ ПРОПИСАТЬ

Приложения:

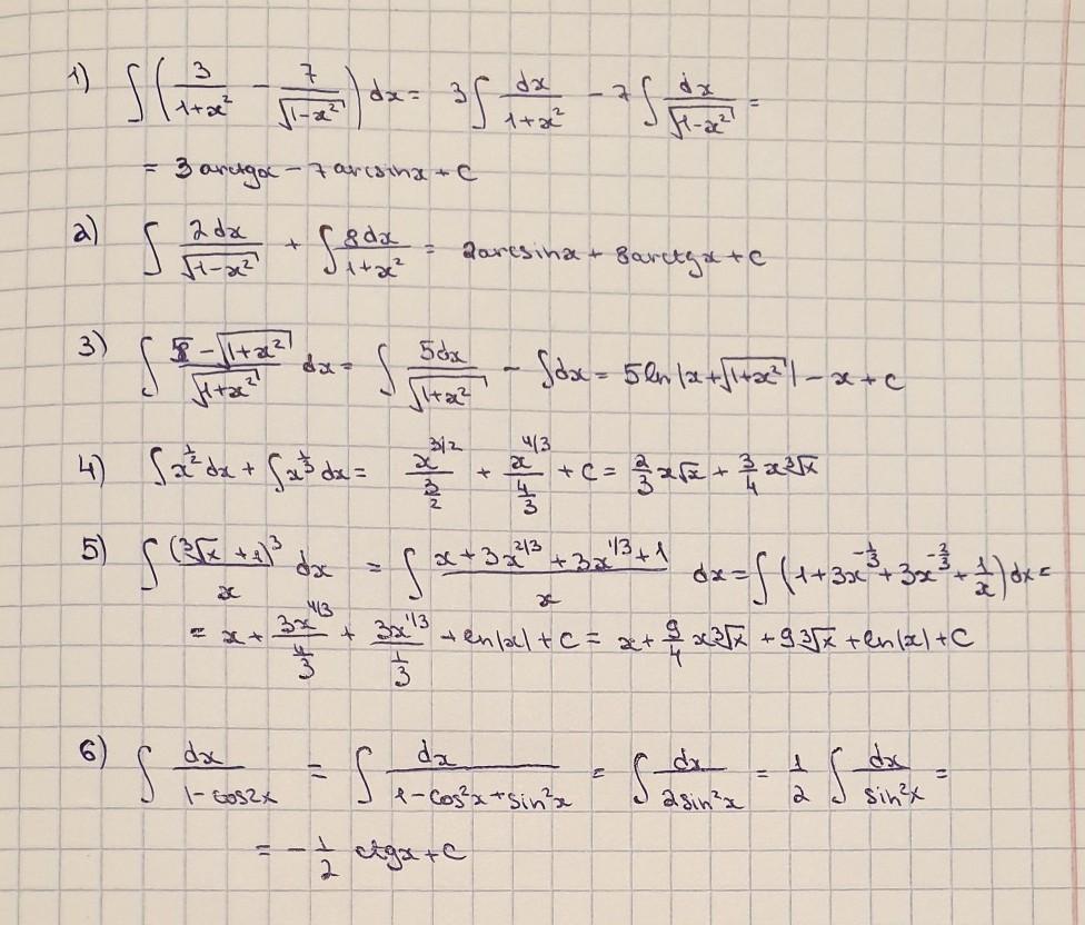
Ответы

Ответ дал: Miroslava227
1

Ответ:

решение на фотографии

Приложения:

alina00833: Спасибо большое
Вас заинтересует