• Предмет: Математика
  • Автор: angelinabrovkina
  • Вопрос задан 3 года назад

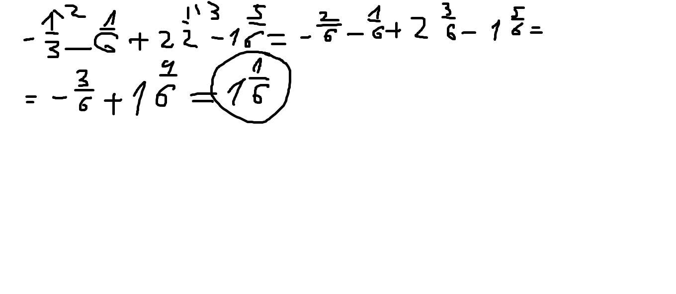
- 1/3+(-1/6)+(+2 1/2)+(-1 5/6) =​

Приложения:

Ответы

Ответ дал: Genum
1

Ответ:

Внизу.

Пошаговое объяснение:

Приложения:

Genum: Пардон,ответ 1/6
Вас заинтересует