• Предмет: Математика
  • Автор: alenadances1
  • Вопрос задан 3 года назад

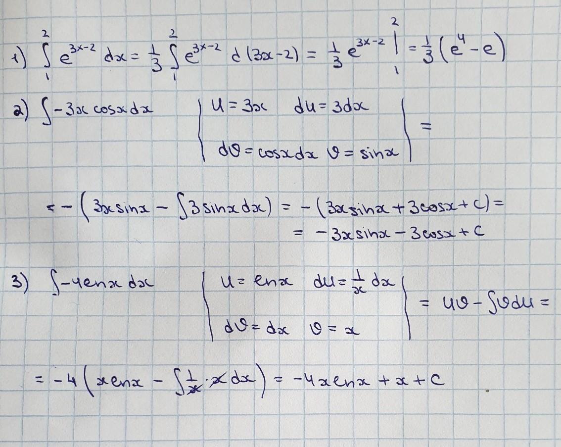
Вычислить интегралы
1) \int\limits^2_1 {e^{3x-2} } \, dx\\2)\int\limits {-3x*cos x} \, dx\\3) \int\limits {-4 ln x} \, dx \\

Ответы

Ответ дал: Miroslava227
1

Ответ:

решение на фотографии

Приложения:
Вас заинтересует