• Предмет: Алгебра
  • Автор: Lolbit2001
  • Вопрос задан 3 года назад

50 БАЛЛОВ!!! Помогите пожалуйста, алгебра, срочно надо

Приложения:

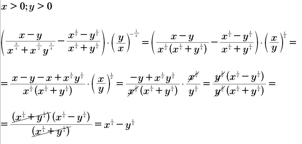
Ответы

Ответ дал: tamarabernukho
1

Ответ:

Объяснение:

..............................................

Приложения:

Lolbit2001: Спасибо большое)
Вас заинтересует