• Предмет: Алгебра
  • Автор: kirill5639
  • Вопрос задан 3 года назад

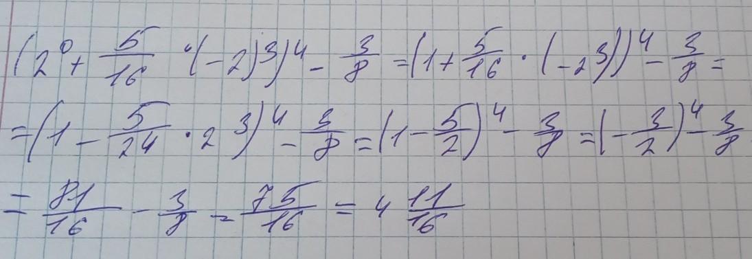
Помогите с примером алгебра даю 20 баллов Задание номер 5​

Приложения:

Ответы

Ответ дал: katerinaborisova2222
2

Объяснение:

думаю тут все понятно....

Приложения:
Вас заинтересует